Tag: rajasthan corona news

उदयपुर में आज 735 कोरोना संक्रमित, 1 की मौत : राजस्थान में 52773 कोरोना एक्टिव केस

उदयपुर में आज 735 कोरोना संक्रमित, 1 की मौत : राजस्थान में 52773 कोरोना एक्टिव केस

उदयपुर,(एआर लाइव न्यूज)। राजस्थान में आज शुक्रवार को 10307 कोरोना संक्रमितों की पुष्टि हुई है, जबकि उदयपुर, जोधपुर और दौसा ...

corona active cases more than 100000 in rajasthan

राजस्थान में कोरोना एक्टिव केस 10 हजार पार, जालोर छोड़कर सभी जिलों में संक्रमित

जयपुर,(एआर लाइव न्यूज)। राजस्थान में अनियंत्रित हो रहे कोरोना के मामले तेजी से बढ़ रहे हैं। इससे प्रदेश में कोविड-19 ...

today 4 test positive for covid 19 in udaipur and jaipur corona positive cases increasing again in rajasthan

राजस्थान में आज 20 पार कोरोना संक्रमित : उदयपुर में 4, जयपुर में 4 पॉजिटिव

उदयपुर,(एआर लाइव न्यूज)। राजस्थान में कोरोना वायरस वापस से पैर पसारने लगा है। आज राजस्थान में 24 कोरोना संक्रमितों की ...

private school two students test positive for covid 19 in jaipur

प्राइवेट स्कूल के दो बच्चे कोरोना संक्रमित हुए: दोनों भाई-बहन हैं

जयपुर,(एआर लाइव न्यूज)। जयपुर के रामबाग क्षेत्र में चल रहे एक प्राइवेट स्कूल के दो बच्चों के कोरोना संक्रमित मिलने ...

rajasthan corona update 71099 active case of covid 19 in rajasthan and 4023 active case in udaipur till may 2021

राजस्थान में कोरोना संक्रमण दर घटकर 6% हुई : 11 जिलों में एक्टिव केस 1000 से कम, उदयपुर में संक्रमण दर 7% हुई

जयपुर,(ARLive news)। राजस्थान के लिए राहत की बात है कि राज्य में कोरोना संक्रमण दर घटकर 6 प्रतिशत पर आ ...

rajasthan udaipur corona update positive cases decreased but death number continuously more than 100

राजस्थान में आज 7680 कोरोना संक्रमित, 127 की मौत: जयपुर 1517, जोधपुर 601, कोटा 427, उदयपुर 401 संक्रमित

उदयपुर,(ARLive news)। राजस्थान में आज 7680 कोरोना संक्रमितों की पुष्टि हुई है, वहीं 16705 संक्रमित ठीक होकर अपने घर भी ...

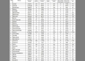
rajasthan corona update 17155 test positive for covid 19 in a day april 2021 udaipur 1221 jodhpur 2339 jaipur 3616 corona positive

राजस्थान में आज 17155 कोरोना संक्रमित, 158 की मौत, 10034 ठीक हुए: जयपुर 3616, जोधपुर 2339, उदयपुर 1221 संक्रमित

जयपुर,(ARLive news)। राजस्थान में आज शुक्रवार को 17155 कोरोना संक्रमितों की पुष्टि हुई है, वहीं 158 संक्रमितों की मौत हो ...

74 corona positive died in a day in rajasthan and 1095 test positive for covid in udaipur

राजस्थान में आज 74 संक्रमितों की मौत, 4959 ठीक भी हुए : जयपुर में 3260, जोधपुर में 2015 और उदयपुर 1095 कोरोना संक्रमित

जयपुर,(ARLive news)। राजस्थान में आज शनिवार को एक दिन में रिकाॅर्ड 74 कोरोना संक्रमितों की मौत हुई है। राज्य में ...

Page 1 of 2 1 2
error: Copy content not allowed