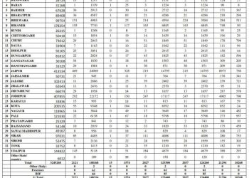
राजस्थान में आज फिर सर्वाधिक 3314 कोरोना संक्रमित, 19 की मौत
उदयपुर,(ARLive news)। राजस्थान में आज फिर अब तक के सर्वाधिक 3314 कोरोना संक्रमितों की पुष्टि हुई है। राज्य में अब ...
उदयपुर,(ARLive news)। राजस्थान में आज फिर अब तक के सर्वाधिक 3314 कोरोना संक्रमितों की पुष्टि हुई है। राज्य में अब ...
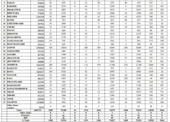
जयपुर,(ARLive news)। राजस्थान में आज फिर लगातार तीसरे दिन कोरोना संक्रमितों की संख्या 3000 से पार रही है। आज राज्य ...
जयपुर,(ARLive news)। राजस्थान में कोरोना का कहर बरकरार है। आज राजस्थान में फिर कोरोना विस्फोट हुआ। आज एक दिन में ...
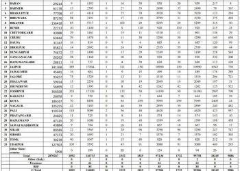
उदयपुर,(ARLive news)। राजस्थान में आज 2121 कोरोना संक्रमितों की पुष्टि हुई हैं, राज्य में अब तक 148316 संक्रमित हो गए ...
उदयपुर,(ARLive news)। राजस्थान में कोरोना संक्रमितों की कुल संख्या 1 लाख 35292 तक पहुंच गयी है। आज 2173 नए केस ...
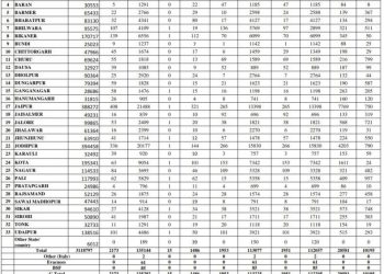
उदयपुर,(ARLive news)। राजस्थान में कोरोना संक्रमण के मामले हर दिन रिकाॅर्ड तोड़ रहे हैं। आज 1892 कोरोना संक्रमितों की पुष्टि ...
उदयपुर,(ARLive news)। राजस्थान में आज 1580 कोरोना संक्रमितों की पुष्टि हुई है। इससे राज्य में संक्रमितों की संख्या 92536 हो ...
उदयपुर,(ARLive News)। राजस्थान में आज 1161 कोरोना संक्रमितों की पुष्टि हुई है। संक्रमितों की संख्या 50157 हो गयी है, इसमें ...
उदयपुर/जयपुर,(ARLive news)। राजस्थान में आज 1166 नए संक्रमितों की पुष्टि हुई है। इससे राज्य में संक्रमितों की संख्या 47845 हो ...
उदयपुर/जयपुर,(ARLive news)। राजस्थान में आज फिर कोरोना संक्रमितों की संख्या 1100 से अधिक 1160 आयी है। राज्य में कुल संक्रमितों ...
© 2019 All Rights Reserved by ARLive News .