AR Live News
Advertisement
  • Home
  • About us
  • National
  • Rajasthan
  • Udaipur
  • Uttar Predesh
  • Gujarat (Hindi)
  • International
  • Expert Articles
  • Education
  • Entertainment
  • Youtube
  • Photo Gallery
  • Contact us
No Result
View All Result
  • Home
  • About us
  • National
  • Rajasthan
  • Udaipur
  • Uttar Predesh
  • Gujarat (Hindi)
  • International
  • Expert Articles
  • Education
  • Entertainment
  • Youtube
  • Photo Gallery
  • Contact us
No Result
View All Result
AR Live News
No Result
View All Result
Home Home

राजस्थान में कोरोना विस्फोट: एक दिन में आज तक के सर्वाधिक 2549 पाॅजिटिव केस

arln-admin by arln-admin
November 19, 2020
Reading Time: 1 min read
corona blast in rajasthan 2549 positive case in one day on 19 november


Share on FacebookShare on TwitterShare on Whatsapp

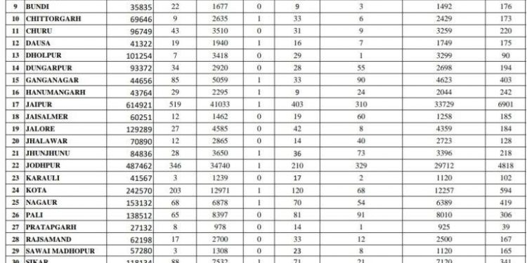
जयपुर,(ARLive news)। राजस्थान में कोरोना का कहर बरकरार है। आज राजस्थान में फिर कोरोना विस्फोट हुआ। आज एक दिन में अब तक के सर्वाधिक 2549 केस पाए गए हैं। यह आंकड़ा मार्च के बाद से अब तक एक दिन में आए कोरोना संक्रमितों की संख्या में सबसे ज्यादा है। राजस्थान में आज 15 कोरोना संक्रमितों की मौत हुई है।

राजस्थान में कोरोना संक्रमितों की कुल संख्या 2 लाख 34 हजार 907 हो गयी है। वहीं अब तक 2116 लोगों की मौत हो चुकी है। 20168 एक्टिव केस हैं। आज सर्वाधिक जयपुर में 519, जोधपुर में 346, अजमेर में 210, अलवर में 205, कोटा में 203, बीकानेर में 197 संक्रमित पाए गए हैं।

उदयपुर में 426 एक्टिव केस

उदयपुर संभाग के उदयपुर जिले में आज 82 संक्रमित पाए गए हैं। उदयपुर में संक्रमितों की संख्या 7917 हो गयी है। इसमें 426 एक्टिव केस हैं।

corona blast in rajasthan 2549 positive case in one day on 19 november
Corona Positive In Rajasthan In November Month
Tags: #CoronaBlastInRajasthan#CoronaPositiveInAlwar#CoronaPositiveInJaipur#CoronaPositiveInJodhpur#CoronaPositiveInKota#CoronapositiveInRajasthan#CoronaPositiveInUdaipur#RajasthanCoronaNews#RajasthanCoronaPositive#RajasthanCoronaUpdateNews#UdaipurCoronaPositiveUpdate

visitors

arlivenews
  • Home
  • About us
  • National
  • Rajasthan
  • Udaipur
  • International
  • Expert Articles
  • photo gallery
  • Entertainment
  • Privacy Policy
  • Archives
  • Contact us

© 2019 All Rights Reserved by ARLive News .

error: Copy content not allowed
No Result
View All Result
  • Home
  • About us
  • National
  • Rajasthan
  • Udaipur
  • Uttar Predesh
  • Gujarat (Hindi)
  • International
  • Expert Articles
  • Education
  • Entertainment
  • Youtube
  • Photo Gallery
  • Contact us

© 2019 All Rights Reserved by ARLive News .