Tag: #UdaipurCoronaPositive

corona positive toll more than 1 lakh 50000 in rajasthan till 7 october 2020

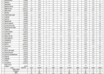
राजस्थान में आज 2151 कोरोना संक्रमित: डेढ़ लाख पार हुई संक्रमितों की संख्या

उदयपुर,(ARLive news)। राजस्थान में आज 2151 नए कोरोना संक्रमितों की पुष्टि हुई है। अब तक राज्य में संक्रमितों की संख्या ...

corona positive record in rajasthan on 18 september 2020

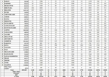
राजस्थान में आज रिकॉर्ड 1817 कोरोना संक्रमित: उदयपुर जेल में 27 कैदी संक्रमित निकले

उदयपुर,(ARLive news)। राजस्थान में आज रिकॉर्ड 1817 कोरोना संक्रमितों की पुष्टि हुई है। संक्रमितों का आंकड़ा राज्य में 111290 हो ...

corona positive in rajasthan udaipur serious covid patient family will get report on mobile

राजस्थान में आज 1470 कोरोना संक्रमित: जयपुर में 308 पार, उदयपुर में गंभीर मरीजों की रिपोर्ट परिजनों को मोबाइल पर मिलेगी

जयपुर,(ARLive news)। राजस्थान में आज 1470 कोरोना संक्रमितों की पुष्टि हुई है। इससे राज्य में कुल संक्रमितों की संख्या 83163 ...

corona positive maximum record in rajasthan today 1334 positive case in one day

राजस्थान में आज सबसे ज्यादा रिकाॅर्ड 1334 कोरोना संक्रमित: जोधपुर में 257, उदयपुर में कोरोना अनियंत्रित

जयपुर/उदयपुर,(ARLive news)। राजस्थान में आज एक दिन में सर्वाधिक रिकाॅर्ड 1334 कोरोना संक्रमितों की पुष्टि हुई है। यह एक दिन ...

corona positive rajasthan today update on 12 agust 2020

राजस्थान में आज 1213 कोरोना संक्रमित, 11 की मौत: जोधपुर में 193, धोलपुर में 177, उदयपुर में 37

उदयपुर/जयपुर,(ARLive news)। राजस्थान में आज कोरोना के 1213 संक्रमितों की पुष्टि हुई है। सर्वाधिक संक्रमित जोधपुर में 193, धोलपुर में ...

Page 1 of 4 1 2 4
error: Copy content not allowed