Tag: #CoronaInRajasthan

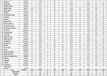
rajasthan corona positive districtwise update

राजस्थान में आज 2165 कोरोना संक्रमित, 14 की मौत : जयपुर में 450, जोधपुर में 365, उदयपुर में 47

उदयपुर,(ARLive news)। राजस्थान में आज 2165 कोरोना संक्रमितों की पुष्टि हुई है। अब तक संक्रमितों की कुल संख्या 1 लाख ...

CORONA POSITIVE RECORD RAJASTHAN IN OCTOBER

राजस्थान में आज रिकाॅर्ड 2211 कोरोना संक्रमित: जयपुर 414, जोधपुर 326, अलवर 198, बीकानेर 183, भीलवाड़ा, उदयपुर 108

जयपुर,(ARLive news)। राजस्थान में आज रिकाॅड 2211 कोरोना संक्रमितों की पुष्टि हुई है। राज्य में संक्रमितों की कुल संख्या 1 ...

corona positive in udaipur rajasthan

राजस्थान में आज 1660 कोरोना संक्रमित, 15 की मौत: जयपुर 321, जोधपुर 283, कोटा 152, उदयपुर 56

जयपुर,(ARLive news)। राजस्थान में आज 1660 कोरोना संक्रमितों की पुष्टि हुई है। संक्रमितों की कुल संख्या 99036 हो गयी है, ...

corona positive in udaipur rajasthan corona blast in jodhpur jaipur

राजस्थान में आज 1345 कोरोना संक्रमित: जोधपुर में 304, जयपुर में 295, बीकानेर में 147, उदयपुर में 70

जयपुर,(ARLive news)। राजस्थान में आज 1345 कोरोना संक्रमितों की पुष्टि हुई है। इससे राज्य में संक्रमितों की संख्या 74670 हो ...

corona positive 66619 total case in rajasthan till 20 agust 2020

राजस्थान में आज 1330 कोरोना संक्रमित : अजमेर 233, जयपुर 202, अलवर 180, उदयपुर 31 संक्रमित

जयपुर,(ARLive news)। राजस्थान में गुरूवार 1330 कोरोना संक्रमितों की पुष्टि हुई है। राज्य में कुल 66619 संक्रमित हो गए हैं ...

corona positive maximum record in rajasthan today 1334 positive case in one day

राजस्थान में आज सबसे ज्यादा रिकाॅर्ड 1334 कोरोना संक्रमित: जोधपुर में 257, उदयपुर में कोरोना अनियंत्रित

जयपुर/उदयपुर,(ARLive news)। राजस्थान में आज एक दिन में सर्वाधिक रिकाॅर्ड 1334 कोरोना संक्रमितों की पुष्टि हुई है। यह एक दिन ...

Page 1 of 4 1 2 4
error: Copy content not allowed