Tag: #RajasthanCoronaNews

corona in rajasthan corona second wave is more danderous every day records break

राजस्थान में कोरोना की दूसरी लहर ज्यादा भयावह: आज फिर सर्वाधिक 2762 संक्रमित, राजस्थान में धारा 144 लागू

आज 8 जिलों में 100 से ज्यादा संक्रमित उदयपुर,(ARLive news)। राजस्थान में कोरोना की दूसरी लहर ज्यादा भयानक नजर आ ...

corona positive in udaipur rajasthan

राजस्थान में आज 2010 कोरोना संक्रमित: जयपुर 394, जोधपुर 302, बीकानेर 265 और उदयपुर 77

उदयपुर,(ARLive news)। राजस्थान में आज 2010 कोरोना संक्रमितों की पुष्टि हुई है। राज्य में संक्रमितों की संख्या 169289 हो गयी ...

corona positive in rajasthan on 19 september 2020

राजस्थान में आज 1834 कोरोना संक्रमित, 14 की मौत: जयपुर 386, जोधपुर 296, कोटा 142, उदयपुर 45

उदयपुर,(ARLive news)। राजस्थान में आज 1834 कोरोना संक्रमितों की पुष्टि हुई है। इससे राज्य में संक्रमितों की संख्या 113124 हो ...

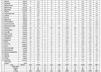
corona positive record in rajasthan on 18 september 2020

राजस्थान में आज रिकॉर्ड 1817 कोरोना संक्रमित: उदयपुर जेल में 27 कैदी संक्रमित निकले

उदयपुर,(ARLive news)। राजस्थान में आज रिकॉर्ड 1817 कोरोना संक्रमितों की पुष्टि हुई है। संक्रमितों का आंकड़ा राज्य में 111290 हो ...

corona positive in udaipur rajasthan

राजस्थान में आज 1566 कोरोना संक्रमित, 14 की मौत: जयपुर 295, जोधपुर 205, कोटा 170, उदयपुर 39

जयपुर,(ARLive news)। राजस्थान में आज 1566 कोरोना संक्रमितों की पुष्टि हुई है। इससे राज्य में संक्रमितों की कुल संख्या 89363 ...

corona positive in rajasthan udaipur serious covid patient family will get report on mobile

राजस्थान में आज 1470 कोरोना संक्रमित: जयपुर में 308 पार, उदयपुर में गंभीर मरीजों की रिपोर्ट परिजनों को मोबाइल पर मिलेगी

जयपुर,(ARLive news)। राजस्थान में आज 1470 कोरोना संक्रमितों की पुष्टि हुई है। इससे राज्य में कुल संक्रमितों की संख्या 83163 ...

corona positive record in rajasthan today 13 agust 2020

राजस्थान में आज 1264 कोरोना संक्रमित, 11 की मौत: कोटा 200, जयपुर 157, जोधपुर 133, उदयपुर 55 संक्रमित

उदयपुर/जयपुर,(ARLive news)। राजस्थान में आज रिकॉर्ड 1264 कोरोना संक्रमितों की पुष्टि हुई है। राज्य में संक्रमितों की संख्या 57414 हो ...

Page 1 of 7 1 2 7
error: Copy content not allowed