राजस्थान में आज फिर 3200 पार कोरोना संक्रमित, 18 की मौत
जयपुर,(ARLive news)। राजस्थान में आज फिर लगातार तीसरे दिन कोरोना संक्रमितों की संख्या 3000 से पार रही है। आज राज्य ...
जयपुर,(ARLive news)। राजस्थान में आज फिर लगातार तीसरे दिन कोरोना संक्रमितों की संख्या 3000 से पार रही है। आज राज्य ...
उदयपुर,(ARLive news)। राजस्थान में आज 2165 कोरोना संक्रमितों की पुष्टि हुई है। अब तक संक्रमितों की कुल संख्या 1 लाख ...
उदयपुर,(ARLive news)। राजस्थान में कोरोना संक्रमितों की कुल संख्या 1 लाख 35292 तक पहुंच गयी है। आज 2173 नए केस ...
उदयपुर/जयपुर,(ARLive news)। राजस्थान में आज एक दिन में रिकाॅर्ड कोरोना संक्रमितों की संख्या 2000 से पार हो गयी है। आज ...
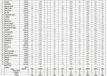
जयपुर,(ARLive news)। राजस्थान में आज बुधवार को 1946 कोरोना संक्रमितों की पुष्टि हुई है। राज्य में संक्रमितों की संख्या 120739 ...
© 2019 All Rights Reserved by ARLive News .