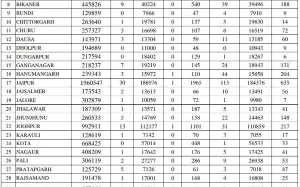
जयपुर/उदयपुर,(ARLive news)। राजस्थान में एक दिन में आने वाले कोरोना संक्रमितों की संख्या 150 से कम हो गयी है। आज रविवार को राज्य में 144 कोरोना संक्रमितों की पुष्टि हुई है, वहीं राज्य में 4 संक्रमितों ने दम तोड़ दिया है। आज सर्वाधिक संक्रमित जयपुर में 30, अलवर में 26, जोधपुर में 13, बीकानेर में 9 और हनुमानगढ़ में 7 संक्रमितों की पुष्टि हुई है। राहत की बात है कि राज्य में एक्टिव केस की संख्या 3079 ही बची है।
उदयपुर शहरवासियों के लिए राहत की खबर है कि कोरोना की दूसरी लहर में आज रविवार को पहली बार शहरी क्षेत्र में एक भी संक्रमित नहीं पाया गया है। उदयपुर जिले में 4 संक्रमितों की पुष्टि हुई है और चारों ही संक्रमित ग्रामीण क्षेत्र से हैं, उदयपुर शहरी क्षेत्र में आज एक भी संक्रमित की पुष्टि नहीं हुई है। जिले में एक्टिव केस की संख्या भी घटकर 131 रह गयी है। हालां कि दुखद है कि उदयपुर में आज एक संक्रमित की मौत भी हुई है।
उदयपुर संभाग की बात करें तो सर्वाधिक एक्टिव केस उदयपुर में 131, प्रतापगढ़ में 47, राजसमंद में 25, बांसवाड़ा में 17, चित्तौड़गढ़ में 14 और डूंगरपुर में 6 लोग ही संक्रमित बचे हैं। दूसरी लहर के दौरान जहां उदयपुर संभाग के जिलों में संक्रमितों की संख्या सर्वाधिक में शामिल थी, वहीं दूसरी लहर के उतार में उदयपुर संभाग की रिकवरी रेट भी काफी अच्छी है।



