उदयपुर,(ARLive news)। राजस्थान में आज 77786 लोगों की कोरोना जांच में 18231 कोरोना संक्रमितों की पुष्टि हुई है। इन आंकड़ों के अनुसार राज्य में संक्रमण दर अभी भी 23 प्रतिषत बनी हुई है। राज्य में आज 16930 लोग ठीक हुए हैं, वहीं 164 संक्रमितों की मौत हो गयी। राज्य में एक्टिव केस की संख्या 1 लाखा 99 हजार 147 हो गयी है।
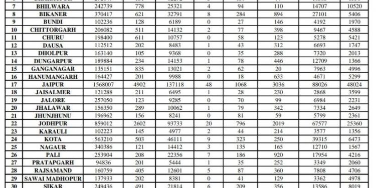
राज्य में आज सर्वाधिक जयपुर में 4902, जोधपुर में 2602, उदयपुर में 1002 संक्रमितों की पुष्टि हुई है। वहीं जयपुर में 48, जोधपुर में 20 और उदयपुर में 18 लोगों की मौत हो गयी। इन तीनों जिलों में आज जयपुर में 3036, जोधपुर में 2019 और उदयपुर में 1855 लोग ठीक हुए हैं।
उदयपुर में आज 4479 की कोरोना जांच में 1002 संक्रमित
उदयपुर जिले में संक्रमितों के तेजी से ठीक होने से एक्टिव केस की भी संख्या घट रही है। पिछले तीन दिनों कोरोना के एक्टिव केस की संख्या में लगातार कमी आ रही है। जहां 5 मई को एक्टिव केस 10572 थे, तो 6 मई को एक्टिव केस 9479 रह गए और आज 7 मई को एक्टिव केस घटकर 8608 हो गए हैं।
जिले में आज 4479 लोगों की कोरोना जांच में 1002 संक्रमित पाए गए हैं। हालां कि इसमें चिंता की बात यह है कि ग्रामीण क्षेत्र में संक्रमितों की संख्या में बढ़ोतरी हो रही है। आज 1002 में 550 शहरी क्षेत्र और 452 ग्रामीण क्षेत्र में संक्रमित मिले हैं। अब तक जिले में 7300 होम आईसोलेषन में रहकर इलाज ले रहे हैं, वहीं अन्य अस्पतालों में भर्ती हैं।
उदयपुर संभाग में आज चित्तौड़गढ़ में 511, राजसमंद में 405, डूंगरपुर में 234, प्रतापगढ़ में 201 और बांसवाड़ा में 121 संक्रमितों की पुष्टि हुई है।
अन्य खबरों के लिए होम पेज https://www.arlivenews.com पर क्लिक करें



